전체 글 64

[R] R의 개념

오늘은 R의 개념에 대해 간단하게 다루어보겠습니다. 우선 R은 하나의 프로그래밍 언어라고 볼수 있는데요. 공식문서에는 이렇게 나와있네요. 정리를 간단히 해보자면 R의 특징은 세가지인것 같습니다. 데이터를 다루는 프로그래밍 언어이다. 방대한 데이터를 간단히 그래픽으로 변환할수 있다. 벡터 기반의 프로그래밍 언어이다. 1. 데이터를 다루는 프로그래밍 언어이다. R에는 데이터를 다루는 다양한 함수들이 존재합니다. (c, matrix, data.frame, aggregate, subset, etc..) 그래서 이러한 함수들을 잘 조합해서 사용한다면 다음과 같이 강력한 효과들을 얻을수 있습니다. 2. 방대한 데이터를 간단히 그래픽으로 변환할수 있다. R은 또한 그래픽으로 변환하는 작업을 아주 간단한 명령으로만 실..

Dev/R 2023.12.20

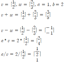
[선형대수] 벡터의 연산(덧셈, 뺄셈)

안녕하세요 오늘은 벡터의 연산에 대해 다루어보겠습니다. 우선 벡터는 지난 글에서 설명을 간단히 하긴 했었지만 다시 한번 설명을 해보자면 방향을 가진 양적인 자료라고 생각해주시면 될것 같습니다. [선형대수] 스칼라와 벡터 [선형대수] 스칼라와 벡터 안녕하세요. 오늘은 스칼라와 벡터에 대해서 간단히 소개해보고자 합니다. 우선 스칼라와 벡터는 선형대수의 가장 기본적인 개념입니다. 어렸을때 우리는 숫자를 1,2,3 혹은 -1, -2, -3으로 배웠을 web-story.tistory.com 그럼 오늘의 주제인 벡터의 연산에 대해 넘어가보겠습니다. 우선 기본적인 연산이 뭐가 있을까요? 많이 있겠지만 아마 사칙연산이 떠오르시겠죠. 벡터에서도 동일하게 사칙연산을 할수 있습니다. 근데 우선 벡터의 연산에 앞서 중요한 조..

Study/수학 2023.12.19

[선형대수] 스칼라와 벡터

안녕하세요. 오늘은 스칼라와 벡터에 대해서 간단히 소개해보고자 합니다. 우선 스칼라와 벡터는 선형대수의 가장 기본적인 개념입니다. 어렸을때 우리는 숫자를 1,2,3 혹은 -1, -2, -3으로 배웠을 것입니다. 하지만 선형대수에서 이러한 방향이 없는 단순히 양적인 값들을 스칼라라 부릅니다. 그렇다면 벡터는 무엇일까요? 벡터는 바로 방향을 가지고 있는 양적인 값들을 의미합니다. 쉽게 2차원 공간으로 표현해보죠. 여기에는 u와 v라는 벡터가 존재하고 있고 다음과 같이 표기할수 있습니다. 아마 어렵겠죠. 저도 처음엔 많이 헷갈렸습니다 ㅋㅋ ㅠㅠ 근데 이런 어려운 선형대수를 왜 배워야할까요? 사실 문과다니시면 배울 필요는 없습니다. 회귀분석 (데이터를 예측하기 위해 사용) 가우스 조던 소거법 (방정식을 선형대수..

Study/수학 2023.12.14

[Javascript] 반복문-3탄 (map, forEach, reduce)

이번 글에서는 Array를 반복문으로 다룰때 사용하는 세가지 함수에 대해서 다룰 예정이다 1탄과 2탄은 다음 글들에 있다. forEach와 map, reduce에는 아주 큰 차이점이 있는데 바로 return값의 존재여부이다. forEach로 사용할 경우 return값이 존재하지 않으며 단순 시행만을 목적으로 두고 있습니다. 그러나 map과 reduce의 경우 데이터를 재포장하는 함수라고 생각하시면 될것 같습니다. [Javascript] 반복문-1탄 (For, For..in) [Javascript] 반복문-2탄 (For..of, while, do while) // a에 1, 2, 3으로 이루어진 배열 선언 const a = [1, 2, 3]; const b = a.forEach((value, idx) =>..

Dev/Web 2023.12.14

[Javascript] 반복문-2탄 (For..of, while, do while)

이번 글에서는 for..of, while, do while에 대해 다루겠다. (do while은 잘 안쓰기는 한다..) 1탄은 다음 링크에 있다. [Javascript] 반복문-1탄 (For, For..in) // a에 1,2,3으로 이루어진 배열 할당 const a = [1, 2, 3] // for of의 경우 반복가능한 값에만 사용이 가능하기 때문에 object에서는 사용이 불가능하다. // for in의 경우는 키를 받아오지만 for of의 경우에는 값을 받아온다. for (const value of a) { console.log(value) } // 결과 // 1 // 2 // 3 // while문은 작성해둔 조건이 만족하는 한 계속 작업을 실행한다. // 코드를 잘못 작성하는 경우 무한루프가 되..

Dev/Web 2023.11.09