안녕하세요
오늘은 벡터의 연산에 대해 다루어보겠습니다.
우선 벡터는 지난 글에서 설명을 간단히 하긴 했었지만 다시 한번 설명을 해보자면
방향을 가진 양적인 자료라고 생각해주시면 될것 같습니다.
[선형대수] 스칼라와 벡터
안녕하세요. 오늘은 스칼라와 벡터에 대해서 간단히 소개해보고자 합니다. 우선 스칼라와 벡터는 선형대수의 가장 기본적인 개념입니다. 어렸을때 우리는 숫자를 1,2,3 혹은 -1, -2, -3으로 배웠을
web-story.tistory.com
그럼 오늘의 주제인 벡터의 연산에 대해 넘어가보겠습니다.
우선 기본적인 연산이 뭐가 있을까요?
많이 있겠지만 아마 사칙연산이 떠오르시겠죠.
벡터에서도 동일하게 사칙연산을 할수 있습니다.
근데 우선 벡터의 연산에 앞서 중요한 조건이 한가지 있습니다.
그것은 바로 연산에 사용되는 벡터들이 모두 동일한 차원에 존재해야 된다는 점인데요.
예를 들어 사각형의 넓이와 선의 넓이를 더할수는 없겠죠
그런 느낌으로 생각해주시면 될것 같습니다.
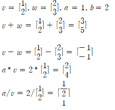
그러면 연산에 대해 간단히 알아보겠습니다.



벡터의 덧셈, 뺄셈은 정말 쉽습니다.
자연수를 덧셈, 뺄셈하는 경우와 동일하다고 생각하시면 이해가 쉬우실겁니다.
그렇지만 곱셈과 나눗셈은 정말 어려운데요.
벡터의 곱셈은 내적이라는 말로 표현이 되는데 이 부분은 다음 글에서 다뤄보겠습니다.
오늘은 벡터의 연산(덧셈, 뺄셈)에 대해 간단히 다뤄보았구요.
오늘도 긴글 봐주셔서 감사합니다.

'Study > 수학' 카테고리의 다른 글
| [미적분] 적분의 개념 (0) | 2024.01.07 |
|---|---|
| [선형대수] 스칼라와 벡터 (0) | 2023.12.14 |
| [미적분] 함수의 극값 구하는 방법-2 (2계 도함수) (1) | 2023.10.25 |