Study/수학

[선형대수] 스칼라와 벡터

더움바다 2023. 12. 14. 22:46

안녕하세요. 오늘은 스칼라와 벡터에 대해서 간단히 소개해보고자 합니다.

 

우선 스칼라와 벡터는 선형대수의 가장 기본적인 개념입니다.

어렸을때 우리는 숫자를 1,2,3 혹은 -1, -2, -3으로 배웠을 것입니다.

 

하지만 선형대수에서 이러한 방향이 없는 단순히 양적인 값들을 스칼라라 부릅니다.

 

그렇다면 벡터는 무엇일까요?

 

벡터는 바로 방향을 가지고 있는 양적인 값들을 의미합니다.

 

쉽게 2차원 공간으로 표현해보죠.

SKKU-Vector Sum – GeoGebra

 

여기에는 u와 v라는 벡터가 존재하고 있고 다음과 같이 표기할수 있습니다.

 

 

아마 어렵겠죠. 저도 처음엔 많이 헷갈렸습니다 ㅋㅋ ㅠㅠ

근데 이런 어려운 선형대수를 왜 배워야할까요?

사실 문과다니시면 배울 필요는 없습니다.

 

 

  • 회귀분석 (데이터를 예측하기 위해 사용)

 

 

 

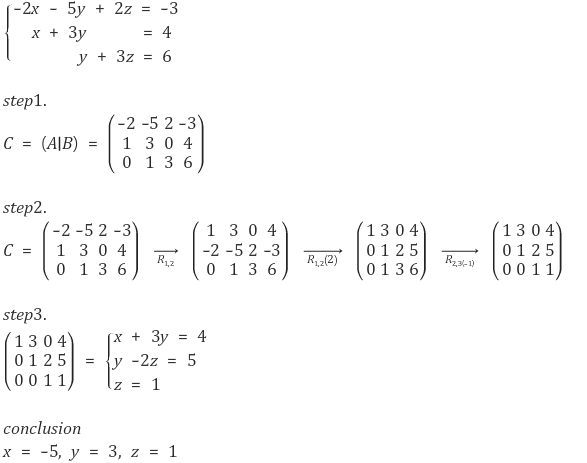
  • 가우스 조던 소거법 (방정식을 선형대수의 형태로 푸는 방법)

가우스 소거법(Gaussian elimination)의 이해 - 선형대수 2-2강 :: Data 쿡북 (datacookbook.kr)

 

 

 

  • 논리 회로 조건식 표기 방법

PPT - 2장 논리 회로와 활용 PowerPoint Presentation, free download - ID:3643943 (slideserve.com)

 

이외에도 많이 있겠지만 배움이 부족하여 이정도만 예시를 올렸습니다..

관심있으시면 더 찾아보시면 좋을것 같습니다.

 

이번글에서는 간단하게 스칼라와 벡터에 대해 알아보았습니다.

오늘도 긴글 봐주셔서 감사합니다.