안녕하세요. 오늘은 스칼라와 벡터에 대해서 간단히 소개해보고자 합니다.
우선 스칼라와 벡터는 선형대수의 가장 기본적인 개념입니다.
어렸을때 우리는 숫자를 1,2,3 혹은 -1, -2, -3으로 배웠을 것입니다.
하지만 선형대수에서 이러한 방향이 없는 단순히 양적인 값들을 스칼라라 부릅니다.
그렇다면 벡터는 무엇일까요?
벡터는 바로 방향을 가지고 있는 양적인 값들을 의미합니다.
쉽게 2차원 공간으로 표현해보죠.

여기에는 u와 v라는 벡터가 존재하고 있고 다음과 같이 표기할수 있습니다.

아마 어렵겠죠. 저도 처음엔 많이 헷갈렸습니다 ㅋㅋ ㅠㅠ
근데 이런 어려운 선형대수를 왜 배워야할까요?
사실 문과다니시면 배울 필요는 없습니다.
- 회귀분석 (데이터를 예측하기 위해 사용)

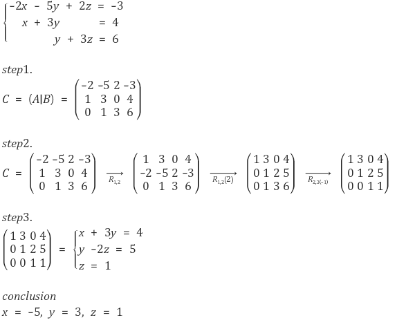
- 가우스 조던 소거법 (방정식을 선형대수의 형태로 푸는 방법)

- 논리 회로 조건식 표기 방법

이외에도 많이 있겠지만 배움이 부족하여 이정도만 예시를 올렸습니다..
관심있으시면 더 찾아보시면 좋을것 같습니다.
이번글에서는 간단하게 스칼라와 벡터에 대해 알아보았습니다.
오늘도 긴글 봐주셔서 감사합니다.
'Study > 수학' 카테고리의 다른 글
| [선형대수] 벡터의 연산(덧셈, 뺄셈) (0) | 2023.12.19 |
|---|---|
| [미적분] 함수의 극값 구하는 방법-2 (2계 도함수) (1) | 2023.10.25 |
| [미적분] 함수의 극값 구하는 방법 - 1 (0) | 2023.09.18 |