이번 글에서는 삼각함수 미분 공식 증명을 설명하겠습니다.
미분 공식을 모아둔 글은 다음 링크에 있습니다.
[미적분] 미분공식
이 글에서는 미분 공식의 기초를 살펴보고, 기본 공식부터 삼각함수의 미분 공식까지 알아보겠습니다. 기본 미분 공식: 미분의 정의에 따라, 함수 f(x)의 도함수를 f'(x) 또는 df/dx로 표기합니다.
web-story.tistory.com
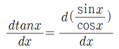
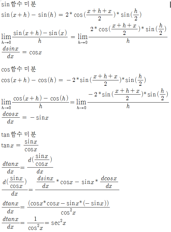
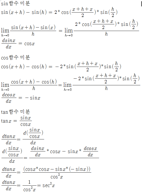
사인(sin) 함수 미분 증명
먼저 사인 함수의 미분에 대해 살펴보겠습니다. sin(x)의 미분을 구하기 위해, sin(x + h) - sin(x)를 h에 대해 정리해보겠습니다.
- sin(x + h) - sin(x) = 2 * cos((x + h + x) / 2) * sin(h / 2)

위의 식을 h로 나누고, h가 0에 근접할 때의 극한을 구하면 다음과 같습니다.
- lim(h->0) (sin(x + h) - sin(x))/h = lim(h->0) [2 * cos((2x + h) / 2) * sin(h / 2)]/h

여기서 sin(h / 2) / h는 h가 0에 근접할 때 1/2로 수렴하므로, 최종적으로 다음과 같이 정리됩니다.
- d(sin(x))/dx = cos(x)

코사인(cos) 함수 미분 증명
다음으로 코사인 함수의 미분에 대해 살펴보겠습니다.
cos(x)의 미분을 구하기 위해, cos(x + h) - cos(x)를 h에 대해 정리해보겠습니다.
- cos(x + h) - cos(x) = -2 * sin((x + h + x) / 2) * sin(h / 2)

이 식을 h로 나누고, h가 0에 근접할 때의 극한을 구하면 다음과 같습니다.
- lim(h->0) (cos(x + h) - cos(x))/h = lim(h->0) [-2 * sin((2x + h) / 2) * sin(h / 2)]/h

앞서 언급한 바와 같이 sin(h / 2) / h는 h가 0에 근접할 때 1/2로 수렴하므로, 최종적으로 다음과 같이 정리됩니다.
- d(cos(x))/dx = -sin(x)

탄젠트(tan) 함수 미분 증명
마지막으로 탄젠트 함수의 미분에 대해 살펴보겠습니다. 탄젠트 함수는 사인 함수와 코사인 함수의 비로 정의됩니다.
- tan(x) = sin(x) / cos(x)

이제 탄젠트 함수를 미분하기 위해, 사인 함수와 코사인 함수의 미분 결과를 사용하여 미분 공식을 적용해보겠습니다.
- d(tan(x))/dx = d(sin(x) / cos(x))/dx

여기서 분수의 미분 공식을 사용하면 다음과 같습니다.
- d(sin(x) / cos(x))/dx = (d(sin(x))/dx * cos(x) - sin(x) * d(cos(x))/dx) / cos^2(x)

앞서 구한 사인 함수와 코사인 함수의 미분 결과를 대입하면 다음과 같이 정리됩니다.
- d(tan(x))/dx = (cos(x) * cos(x) - sin(x) * (-sin(x))) / cos^2(x)

이를 간소화하면, 최종적으로 다음과 같이 정리됩니다.
- d(tan(x))/dx = 1 / cos^2(x) = sec^2(x)

전체 순서

오늘은 삼각함수(sin, cos, tan)의 미분 증명에 대해 알아보았습니다.
긴글 봐주셔서 감사합니다!

'Study > 수학' 카테고리의 다른 글
| [미적분] 미분의 선형화 및 증명 (0) | 2023.05.01 |
|---|---|
| [미적분] 연쇄 미분 공식의 증명 (0) | 2023.04.20 |
| [미적분] 합, 차, 곱, 분수 미분 공식의 증명 (2) | 2023.04.18 |