오늘은 기본적인 미분공식의 증명에 대해 설명하겠습니다.
대표적인 미분 공식들은 다음 글에 있습니다.
[미적분] 미분공식
이 글에서는 미분 공식의 기초를 살펴보고, 기본 공식부터 삼각함수의 미분 공식까지 알아보겠습니다. 기본 미분 공식: 미분의 정의에 따라, 함수 f(x)의 도함수를 f'(x) 또는 df/dx로 표기합니다.
web-story.tistory.com
합의 미분 공식
- 합의 미분 공식은 두 함수의 합의 미분이 각 함수의 미분의 합과 같다는 것을 나타냅니다.
- (g(x) + h(x))' = g'(x) + h'(x)
증명:
- f'(x) = lim(h->0) [(g(x+h) + h(x+h)) - (g(x) + h(x))]/h
- = lim(h->0) [(g(x+h) - g(x))/h + (h(x+h) - h(x))/h]
- = g'(x) + h'(x)

차의 미분 공식
- 차의 미분 공식은 두 함수의 차의 미분이 각 함수의 미분의 차와 같다는 것을 나타냅니다.
- (g(x) - h(x))' = g'(x) - g'(x)
증명:
- f'(x) = lim(h->0) [(g(x+h) - h(x+h)) - (g(x) - h(x))]/h
- = lim(h->0) [(g(x+h) - g(x))/h - (h(x+h) - h(x))/h]
- = g'(x) - h'(x)

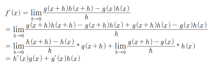
곱의 미분 공식
- 곱의 미분 공식은 두 함수의 곱의 미분이 첫 번째 함수의 미분에 두 번째 함수를 곱한 것과 두 번째 함수의 미분에 첫 번째 함수를 곱한 것의 합과 같다는 것을 나타냅니다.
- (g(x) * h(x))' = g'(x) * h(x) + g(x) * h'(x)
증명:
- f'(x) = lim(h->0) [(g(x+h) * h(x+h)) - (g(x) * h(x))/h]
- = lim(h->0) [(g(x+h) * h(x+h)) - (h(x+h) * g(x)) + (h(x+h) * g(x)) - (g(x) * h(x))]/h
- = lim(h->0) [h(x+h) - h(x)]/h * g(x+h) + [g(x+h) - g(x)]/h * h(x)
- = h'(x) * g(x) + g'(x) * h(x)

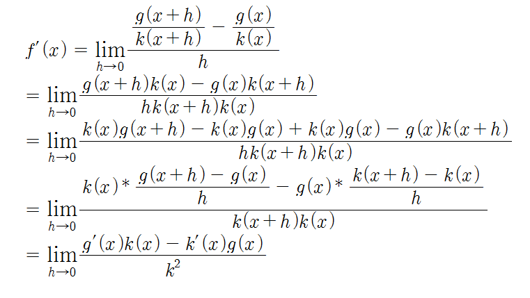
분수의 미분 공식
- 분수의 미분 공식은 두 함수의 비율의 미분이 분자의 미분에 분모를 곱한 것과 분모의 미분에 분자를 곱한 것의 차를 분모의 제곱으로 나눈 것과 같다는 것을 나타냅니다.
- (g(x) / k(x))' = (g'(x) * k(x)) - (g(x) * k'(x)) / (k(x))^2
증명:
- lim(h->0) [(g(x+h) / k(x+h)) - (g(x) / k(x)) / h]
- = lim(h->0) [(g(x+h) * k(x)) - (g(x) * k(x+h)) / h * k(x+h) * k(x)]
- = lim(h->0) [(k(x) * g(x+h)) - (k(x) * g(x)) + (k(x) * g(x)) - (g(x) * k(x+h)) / h * k(x+h) * k(x)]
이제 각 항을 h로 나눕니다.
- = lim(h->0) [k(x) * ((g(x+h) - g(x)) / h) - g(x) * ((k(x+h) - k(x)) / h)] / k(x+h) * k(x)
이제 각 항의 극한을 취합니다.
- = (g'(x) * k(x) - k'(x) * g(x)) / (k(x))^2

'Study > 수학' 카테고리의 다른 글
| [미적분] 연쇄 미분 공식의 증명 (0) | 2023.04.20 |
|---|---|
| [미적분] 기본 미분 공식의 증명 (0) | 2023.04.17 |
| [미적분] 미분공식 (0) | 2023.04.16 |