오늘은 미분의 선형화에 대해 알아보겠습니다.
미분의 선형화는 주어진 함수를 그것의 접선을 사용하여 근사하는 과정을 말합니다.
함수 f가 x=a에서 미분이 가능할때, 다음과 같이 정의됩니다.
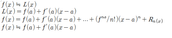
- L(x) = f(a) + f'(a)(x - a)
- 여기서 L(x)는 선형 근사 함수이고, f'(a)는 함수 f(x)의 x=a에서의 미분계수(기울기)입니다.
- L(x)는 다음과 같이 표현하기도 합니다.
- f(x) ≒ L(x)


증명
미분의 선형화를 증명하기 위해, 테일러 정리(Taylor's Theorem)를 사용합니다.
테일러 정리는 함수의 근사에 대한 일반적인 결과로, 함수를 다항식으로 근사하는 데 사용합니다.
함수 f(x)가 n번 미분 가능하고, n+1번째 미분이 존재한다고 가정한다면, 테일러 정리에 따라 다음과 같이 표현할 수 있습니다.
- f(x) = f(a) + f'(a)(x - a) + ... + (f^(n)(a) / n!)(x - a)^n + R_n(x)
여기서 f^(n)(a)는 n차 미분계수, R_n(x)는 나머지 항(Remainder term)입니다.
미분의 선형화는 테일러 정리의 특수한 경우로 볼 수 있습니다.
미분의 선형화에서는 테일러 정리 공식에서의 n = 1이고, R_n(x)가 0에 수렴하게 됩니다.
그렇기에 f(x) ≒ f(a) + f'(a)(x - a)가 되게 됩니다.

전체 순서

오늘은 미분의 선형화 및 증명에 대해 알아보았습니다.
긴글 봐주셔서 감사합니다.

'Study > 수학' 카테고리의 다른 글
| [미적분] 함수의 극값 (0) | 2023.07.23 |
|---|---|
| [미적분] 삼각함수 미분 공식의 증명 (0) | 2023.04.25 |
| [미적분] 연쇄 미분 공식의 증명 (0) | 2023.04.20 |