안녕하세요. 오늘은 이항정리와 증명에 대해 다뤄보겠습니다.
이항정리란 조합을 구하는 형식을 이용해 두 항의 다항식을 전개하는 방법입니다.

여기서 nCk는 조합을 구할때의 형식과 동일합니다. (이항정리라고도 부릅니다)

귀납법에 의한 증명
n = 1일 경우 다음식이 성립합니다.

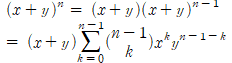
n - 1에 대해 다음식이 성립한다고 가정할수 있습니다.

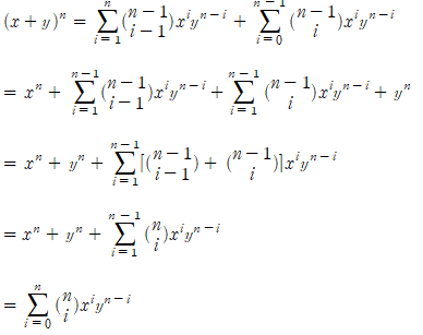
이 식을 x와 y로 시그마를 분리하면 다음과 같습니다.

위 식에서 앞의 시그마의 k + 1 = i로 두고, 뒤의 시그마에서 k = 1로 두면 다음과 같습니다.

그럼 몇가지 문제를 통해 좀더 자세히 알아보겠습니다
Q1) (x+y)^4를 전개하시오.

오늘은 이항정리와 증명에 대해 알아보았습니다.
오늘도 긴 글 봐주셔서 감사합니다.

'Study > 통계학' 카테고리의 다른 글
| [확률] 다항계수와 증명 (2) | 2024.07.21 |
|---|---|
| [확률] 조합의 증명 (0) | 2024.07.16 |
| [확률] 조합 (0) | 2024.07.15 |